题目:687. 最长同值路径
难度:中等
给定一个二叉树的 root ,返回 最长的路径的长度 ,这个路径中的 每个节点具有相同值 。 这条路径可以经过也可以不经过根节点。
两个节点之间的路径长度 由它们之间的边数表示。
示例 1:

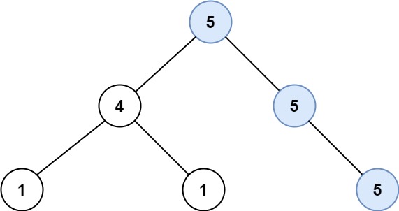
输入:root = [5,4,5,1,1,5] 输出:2
示例 2:

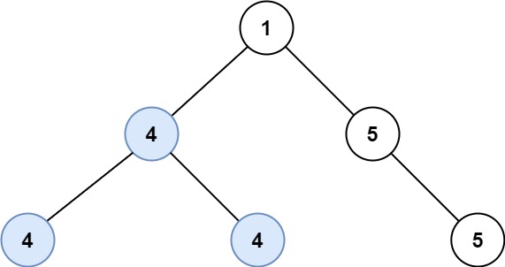
输入:root = [1,4,5,4,4,5] 输出:2
提示:
- 树的节点数的范围是
[0, 104] -1000 <= Node.val <= 1000- 树的深度将不超过
1000
一、模式识别
路径可能穿过父节点 》 后序
同值 》 任意同值(不一定和根节点相同) 》 全局比较 + 同值条件判断
二、代码实现
1.递归
# Definition for a binary tree node.
# class TreeNode:
# def __init__(self, val=0, left=None, right=None):
# self.val = val
# self.left = left
# self.right = right
class Solution:def longestUnivaluePath(self, root: Optional[TreeNode]) -> int:if not root: return 0ans = 0def dfs(node):if not node: return 0left = dfs(node.left)right = dfs(node.right)left = left + 1 if node.left and node.val == node.left.val else 0right= right + 1 if node.right and node.val == node.right.val else 0nonlocal ansans = max(ans, left + right)return max(left, right)dfs(root)return ans
2.迭代
# Definition for a binary tree node.
# class TreeNode:
# def __init__(self, val=0, left=None, right=None):
# self.val = val
# self.left = left
# self.right = right
class Solution:def longestUnivaluePath(self, root: Optional[TreeNode]) -> int:if not root: return 0ans = 0stack = [root]records = defaultdict(int)while stack:node = stack.pop()if node:stack.append(node)stack.append(None)if node.right: stack.append(node.right)if node.left: stack.append(node.left)else:node = stack.pop()left = records[node.left] + 1 if node.left and node.left.val == node.val else 0right = records[node.right] + 1 if node.right and node.right.val == node.val else 0ans = max(ans, left + right)records[node] = max(left, right)return ans