235.二叉搜索树的最近公共祖先
给定一个二叉搜索树, 找到该树中两个指定节点的最近公共祖先。
百度百科中最近公共祖先的定义为:“对于有根树 T 的两个结点 p、q,最近公共祖先表示为一个结点 x,满足 x 是 p、q 的祖先且 x 的深度尽可能大(一个节点也可以是它自己的祖先)。”
例如,给定如下二叉搜索树: root = [6,2,8,0,4,7,9,null,null,3,5]
示例 1:
输入: root = [6,2,8,0,4,7,9,null,null,3,5], p = 2, q = 8 输出: 6 解释: 节点2和节点8的最近公共祖先是6。示例 2:
输入: root = [6,2,8,0,4,7,9,null,null,3,5], p = 2, q = 4 输出: 2 解释: 节点2和节点4的最近公共祖先是2, 因为根据定义最近公共祖先节点可以为节点本身。说明:
- 所有节点的值都是唯一的。
- p、q 为不同节点且均存在于给定的二叉搜索树中。
代码
class Solution {public TreeNode lowestCommonAncestor(TreeNode root, TreeNode p, TreeNode q) {// 基本情况:如果根节点为空,返回空if (root == null) {return null;}// 如果p和q的值都大于根节点,最近公共祖先在右子树if (p.val > root.val && q.val > root.val) {return lowestCommonAncestor(root.right, p, q);}// 如果p和q的值都小于根节点,最近公共祖先在左子树if (p.val < root.val && q.val < root.val) {return lowestCommonAncestor(root.left, p, q);}// 如果一个节点值较小而另一个较大,或者一个等于根节点// 那么当前根节点就是最近公共祖先return root;}
}
701.二叉搜索树中的插入操作
给定二叉搜索树(BST)的根节点
root和要插入树中的值value,将值插入二叉搜索树。 返回插入后二叉搜索树的根节点。 输入数据 保证 ,新值和原始二叉搜索树中的任意节点值都不同。注意,可能存在多种有效的插入方式,只要树在插入后仍保持为二叉搜索树即可。 你可以返回 任意有效的结果 。
示例 1:
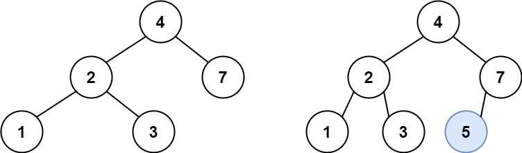
输入:root = [4,2,7,1,3], val = 5 输出:[4,2,7,1,3,5] 解释:另一个满足题目要求可以通过的树是:
示例 2:
输入:root = [40,20,60,10,30,50,70], val = 25 输出:[40,20,60,10,30,50,70,null,null,25]示例 3:
输入:root = [4,2,7,1,3,null,null,null,null,null,null], val = 5 输出:[4,2,7,1,3,5]提示:
- 树中的节点数将在
[0, 104]的范围内。-108 <= Node.val <= 108- 所有值
Node.val是 独一无二 的。-108 <= val <= 108- 保证
val在原始BST中不存在。
代码
class Solution {public TreeNode insertIntoBST(TreeNode root, int val){return insertIntoBST1(root,val,root);}public TreeNode insertIntoBST1(TreeNode root, int val,TreeNode head) {if(root==null){TreeNode answer=new TreeNode(val);return answer;}if(root.val<val){ // 右子树插入if(root.right!=null){return insertIntoBST1(root.right,val,head);}else{root.right=new TreeNode(val);return head;}}else{if(root.left!=null){return insertIntoBST1(root.left,val,head);}else{root.left=new TreeNode(val);return head;}}}
}
450.删除二叉搜索树中的节点
给定一个二叉搜索树的根节点 root 和一个值 key,删除二叉搜索树中的 key 对应的节点,并保证二叉搜索树的性质不变。返回二叉搜索树(有可能被更新)的根节点的引用。
一般来说,删除节点可分为两个步骤:
- 首先找到需要删除的节点;
- 如果找到了,删除它。
示例 1:
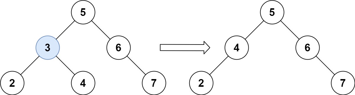
输入:root = [5,3,6,2,4,null,7], key = 3 输出:[5,4,6,2,null,null,7] 解释:给定需要删除的节点值是 3,所以我们首先找到 3 这个节点,然后删除它。 一个正确的答案是 [5,4,6,2,null,null,7], 如下图所示。 另一个正确答案是 [5,2,6,null,4,null,7]。
示例 2:
输入: root = [5,3,6,2,4,null,7], key = 0 输出: [5,3,6,2,4,null,7] 解释: 二叉树不包含值为 0 的节点示例 3:
输入: root = [], key = 0 输出: []提示:
- 节点数的范围
[0, 104].-105 <= Node.val <= 105- 节点值唯一
root是合法的二叉搜索树-105 <= key <= 105进阶: 要求算法时间复杂度为 O(h),h 为树的高度。
代码
class Solution {TreeNode deleteNode(TreeNode root, int key) {if (root == null) return null;return deleteNode1(root, key);}TreeNode deleteNode1(TreeNode root, int key) {if (root == null) return null;if (root.val < key) {root.right = deleteNode1(root.right, key);} else if (root.val > key) {root.left = deleteNode1(root.left, key);} else { // 找到删除节点// 情况1:无子节点if (root.left == null && root.right == null) return null;// 情况2:只有一个子节点if (root.left == null) return root.right;if (root.right == null) return root.left;// 情况3:两个子节点TreeNode successor = findMin(root.right); // 找右子树最小值root.val = successor.val; // 替换值root.right = deleteNode1(root.right, successor.val); // 删除后继}return root;}TreeNode findMin(TreeNode node) {while (node.left != null) {node = node.left;}return node;}
}
669.修剪二叉搜索树
给你二叉搜索树的根节点
root,同时给定最小边界low和最大边界high。通过修剪二叉搜索树,使得所有节点的值在[low, high]中。修剪树 不应该 改变保留在树中的元素的相对结构 (即,如果没有被移除,原有的父代子代关系都应当保留)。 可以证明,存在 唯一的答案 。所以结果应当返回修剪好的二叉搜索树的新的根节点。注意,根节点可能会根据给定的边界发生改变。
示例 1:
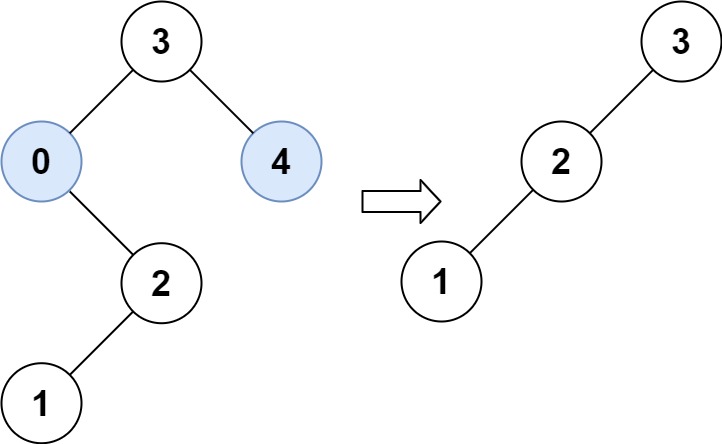
输入:root = [1,0,2], low = 1, high = 2 输出:[1,null,2]示例 2:
输入:root = [3,0,4,null,2,null,null,1], low = 1, high = 3 输出:[3,2,null,1]提示:
- 树中节点数在范围
[1, 104]内0 <= Node.val <= 104- 树中每个节点的值都是 唯一 的
- 题目数据保证输入是一棵有效的二叉搜索树
0 <= low <= high <= 104
代码
class Solution {public TreeNode trimBST(TreeNode root, int low, int high) {root=trimBST1(root,low,high);return root;}public TreeNode trimBST1(TreeNode root, int low, int high) {if(root==null) return null;if(root.val<=high && root.val>=low){root.left=trimBST1(root.left,low,high);root.right=trimBST1(root.right,low,high);return root;}else if(root.val<low){return trimBST1(root.right,low,high);}else{return trimBST1(root.left,low,high);}}
}
108.将有序数组转化为二叉搜索树
给你一个整数数组
nums,其中元素已经按 升序 排列,请你将其转换为一棵 平衡 二叉搜索树。示例 1:
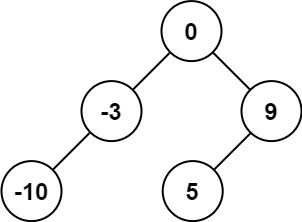
输入:nums = [-10,-3,0,5,9] 输出:[0,-3,9,-10,null,5] 解释:[0,-10,5,null,-3,null,9] 也将被视为正确答案:
示例 2:
输入:nums = [1,3] 输出:[3,1] 解释:[1,null,3] 和 [3,1] 都是高度平衡二叉搜索树。提示:
1 <= nums.length <= 104-104 <= nums[i] <= 104nums按 严格递增 顺序排列
代码
class Solution {public TreeNode sortedArrayToBST(int[] nums) {// 如果数组为空,返回 nullif (nums == null || nums.length == 0) {return null;}// 调用递归辅助函数,处理整个数组return buildBST(nums, 0, nums.length - 1);}// 递归辅助函数,构建 BSTprivate TreeNode buildBST(int[] nums, int left, int right) {// 基线条件:如果 left > right,说明子数组为空,返回 nullif (left > right) {return null;}// 选择中间元素作为根节点int mid = left + (right - left) / 2; // 避免整数溢出TreeNode root = new TreeNode(nums[mid]);// 递归构建左子树(左半部分)root.left = buildBST(nums, left, mid - 1);// 递归构建右子树(右半部分)root.right = buildBST(nums, mid + 1, right);// 返回当前子树的根节点return root;}
}
538.把二叉搜索树转化为累加树
给出二叉 搜索 树的根节点,该树的节点值各不相同,请你将其转换为累加树(Greater Sum Tree),使每个节点
node的新值等于原树中大于或等于node.val的值之和。提醒一下,二叉搜索树满足下列约束条件:
- 节点的左子树仅包含键 小于 节点键的节点。
- 节点的右子树仅包含键 大于 节点键的节点。
- 左右子树也必须是二叉搜索树。
注意:本题和 1038: 1038. 从二叉搜索树到更大和树 - 力扣(LeetCode) 相同
示例 1:
输入:[4,1,6,0,2,5,7,null,null,null,3,null,null,null,8] 输出:[30,36,21,36,35,26,15,null,null,null,33,null,null,null,8]示例 2:
输入:root = [0,null,1] 输出:[1,null,1]示例 3:
输入:root = [1,0,2] 输出:[3,3,2]示例 4:
输入:root = [3,2,4,1] 输出:[7,9,4,10]提示:
- 树中的节点数介于
0和104之间。- 每个节点的值介于
-104和104之间。- 树中的所有值 互不相同 。
- 给定的树为二叉搜索树。
代码
class Solution {private int sum = 0; // 全局变量记录累加和public TreeNode convertBST(TreeNode root) {if (root == null) {return null;}// 逆中序遍历(右-根-左)convertBST(root.right); // 先处理右子树(较大值)sum += root.val; // 更新累加和root.val = sum; // 当前节点赋值为累加和convertBST(root.left); // 再处理左子树(较小值)return root;}
}











