问题描述
小蓝要上一个楼梯,楼梯共有 n 级台阶(即小蓝总共要走 n 级)。小蓝每一步可以走 a 级、b 级或 c 级台阶。
请问小蓝总共有多少种方案能正好走到楼梯顶端?
输入格式
输入的第一行包含一个整数 n 。
第二行包含三个整数 a,b,c 。
输出格式
输出一行包含一个整数,表示答案。答案可能很大,请输出答案除以 1000000007 后的余数。
样例输入
4
1 2 3
样例输出
7
样例输入
7
2 4 6
样例输出
0
评测用例规模与约定
对于 30% 评测用例,1≤a<b<c≤n≤50。
对于 60% 评测用例,1≤a<b<c≤n≤1000。
对于所有评测用例,1≤a<b<c≤n≤1000000。
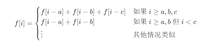
一维动态规划:f[i] 表示走到数字 i 的方式数
1.边界
f[a] = f[b] = f[c] = 1
如果 i=a、i=b、或 i=c,那么 f[i]=1,因为只用一个步长就可以凑成 i。
2.递推关系式

#include<iostream>
using namespace std;const int N = 1e6+10;
const int mod = 1e9+7;int f[N];
int n, a, b, c; int main()
{cin>>n>>a>>b>>c;f[a] = f[b] = f[c] = 1;for(int i=1; i<=n; ++i){if(i>=a) f[i]=(f[i]+f[i-a]) % mod;if(i>=b) f[i]=(f[i]+f[i-b]) % mod;if(i>=c) f[i]=(f[i]+f[i-c]) % mod;}cout<<f[n];return 0;
}

