📝前言说明:
- 本专栏主要记录本人的基础算法学习以及LeetCode刷题记录,按专题划分
- 每题主要记录:(1)本人解法 + 本人屎山代码;(2)优质解法 + 优质代码;(3)精益求精,更好的解法和独特的思想(如果有的话)
- 文章中的理解仅为个人理解。如有错误,感谢纠错
🎬个人简介:努力学习ing
📋本专栏:C++刷题专栏
📋其他专栏:C语言入门基础,python入门基础,C++学习笔记,Linux
🎀CSDN主页 愚润泽
视频
- DP34 【模板】前缀和
- 一维数组
- DP35 【模板】二维前缀和
- 二维数组
DP34 【模板】前缀和
这道题是牛客的。

一维数组
这道题解刨一下前缀和题型的重要思想。
暴力解法:
每次询问都遍历整个数组,找到第l个位置,然后从第l个位置开始往后+r个数,时间复杂度:O(q * n)
前缀和方法:用于快速求出数组中某一个连续区间的和
让每次询问,求和的时间复杂度降到O(1)
本质上是一种空间换时间的思想。
具体步骤分两步:
- 第一步:预处理一个前缀和数组
dp - 第二步:使用前缀和数组
具体如何做,请看下图

但是,这里还有一个边界问题:就是当从位置0开始的时候,dp[-1]会越界。
我们只需要在初始化的时候让数组多开一个空间,即让dp[0] == 0即可,(类似于链表的哨兵节点)
具体解题代码:
#include <iostream>
using namespace std;int main()
{int n, q;cin >> n >> q;long long arr[n + 1], dp[n + 1];arr[0] = 0; dp[0] = 0; for(int i = 1; i <= n; i++) cin >> arr[i];// 预处理前缀和数组for(int i = 1; i <= n; i++) dp[i] = dp[i - 1] + arr[i];while(q--){int l, r;cin >> l >> r;// 计算区间和cout << dp[r] - dp[l - 1] << endl;}return 0;
}
时间复杂度:O(n + q) :
空间复杂度:O(n)
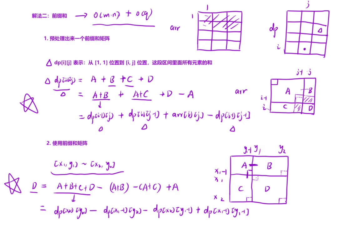
DP35 【模板】二维前缀和
这道题也是牛客的。

二维数组
二维情况下的前缀和数组。
同样,我们先分析暴力求解的方法:
对于每个询问,找到左上的位置然后一直遍历到右下的位置,并在这个过程中将元素相加。
最坏的时间复杂度就是:O( n 2 n^2 n2 * q) :每次都从[1, 1]到[n, n]
更好的做法:利用前缀和数组(空间换时间),使用前缀和数组的关键点有两个:
- 前缀和数组中,每一个位置代表的意义
- 初始化前缀和数组的时间复杂度要尽可能的小,即:利用已有格子的信息
本题针对以上两点:
dp[i][j]:从[1, 1]到[i, j]位置,这个矩阵的所有元素和- 求
dp[i][j]:利用面积 - 面积
具体分析如下:

本题具体代码:
#include <iostream>
#include<vector>
using namespace std;int main()
{long n, m, q;cin >> n >> m >> q;vector<vector<long long>> arr(n + 1, vector<long long>(m + 1, 0));for(int i = 1; i <= n; i++){for(int j = 1; j <= m; j++){cin >> arr[i][j];}}vector<vector<long long>> dp(n + 1, vector<long long>(m + 1, 0));// 初始化前缀和数组for(int i = 1; i <= n; i++){for(int j = 1; j <= m; j++){dp[i][j] = dp[i - 1][j] + dp[i][j - 1] - dp[i - 1][j - 1] + arr[i][j];}}while(q--){int x1, x2, y1, y2;cin >> x1 >> y1 >> x2 >> y2;cout << dp[x2][y2] - dp[x1 - 1][y2] - dp[x2][y1 - 1] + dp[x1 - 1][y1 - 1] << endl;}
}
时间复杂度:O(n * m + q) :
空间复杂度:O(n * m)
🌈我的分享也就到此结束啦🌈
要是我的分享也能对你的学习起到帮助,那简直是太酷啦!
若有不足,还请大家多多指正,我们一起学习交流!
📢公主,王子:点赞👍→收藏⭐→关注🔍
感谢大家的观看和支持!祝大家都能得偿所愿,天天开心!!!
